Hallo und herzlich willkommen auf meiner Webseite.

 

 

Was ist hier los?

Wie kam es dazu?

Was können wir tun?

Habt ihr euch schon einmal Gedanken darüber gemacht?

 

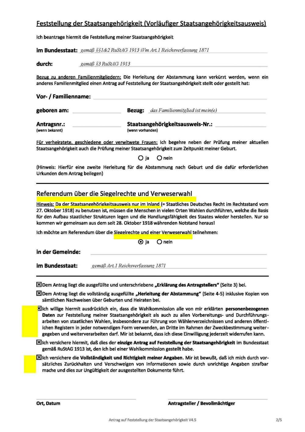
2015 wurde mir das Unrecht bekannt welchem wir seit dem 28.10.1918 unterliegen. Als ich für mich feststellte, dass wir keine freien Menschen in der BRD sind die über sich selbst bestimmen dürfen, habe ich mir zum Ziel gesetzt, etwas dafür zu tun um das für uns alle zu erreichen. Doch noch viel mehr. Ich habe es meinen Kindern versprochen. Ich stehe in der Pflicht meinen Kindern, Enkelkindern und allen die es noch nicht wissen gegenüber.

 

Deswegen dient meine Seite zur Aufklärung. Aufklärung darüber, was vor allem in der BRD gerade geschieht und warum das so ist. Aber nicht nur in der BRD sondern weltweit. Es sollte jeden interessieren, denn hier geht es um unsere Zukunft. Um die Zukunft unserer Kinder und Enkelkinder. Um es verstehen zu können sollte man sich öffnen . Wir sollten alles was wirbisher gelernt hat vergessen und neu anfangen.

 

Warum? Ihr werdet einiges lesen was euch unglaublich erscheint. Mir selbst ging es auch so. Deswegen habe ich recherchiert, um diesen "Quatsch" mit  dem ich konfrontiert wurde zu widerlegen. Das Gute daran war, dass ich eines Besseren belehrt wurde und feststellen musste, dass andere absolut Recht hatten. Dafür herzlichen Dank. 

 

Ich möchte euch nicht meine Gedanken aufdrängen oder euch von etwas überzeugen. Ich möchte nicht meine „Wahrheit“ verbreiten sondern die Wahrheit die  geschrieben steht. Es ist die Wahrheit, die man öffentlich nachlesen kann. Die Wahrheit, die im gültigen BGB vom 18. August 1896, in der gültigen Verfassung von 1871 und im RuStAG 1913 steht.

 

Mein Ziel ist es, meine Mitmenschen wachzurütteln. Ich möchte euch gerne zum Nachdenken anregen. Hier geht es nicht darum sich eine Meinung zu bilden. Es geht auch nicht darum ob ihr es gut oder schlecht, richtig oder falsch findet was ich hier versuche euch zu vermitteln. Und schon gar nicht möchte ich euch persönlich angreifen.

 

Hier geht es um glasklare Fakten und Nachweise über die man nicht diskutieren muss, da man sie tatsächlich öffentlich nachlesen und prüfen kann. Über Fakten muss  man nicht diskutieren. Entweder man versteht sie oder man versteht sie nicht.Jeder Mensch hat seine Zeit, jeder Mensch braucht Zeit um die Fakten zu erkennen und sich ihnen zu stellen.

 

Wir werden seit Jahrzehnten gewollt und bewusst belogen, betrogen und manipuliert. Und dabei ist es egal ob es Deutsche, Polen, Russen oder Türken sind. Es betrifft uns alle vollkommen egal wen. Vollkommen egal welche Nationalität. Vollkommen egal welche Hautfarbe. Wir sitzen alle in demselben Boot.

 

Um erkennen, verstehen und verinnerlichen zu können, würde ich euch gerne etwas mit auf den Weg geben.

 

Glaube nichts, prüfe alles = selbst denken

An etwas glauben ist eine Meinung haben und hat nichts mit Wissen zu tun. Wissen besteht aus dem Nachweis von Fakten = Beweise.

 

Wer seine Vergangenheit nicht kennt, wird die Gegenwart niemals verstehen um für die Zukunft etwas Positives für alle tun zu können.

 

Zurück in die Vergangenheit ist der Weg in die Zukunft um in Frieden, Freiheit, Souveränität versehen mit Menschenrechten nach dem Subsidiaritätsprinzip von unten nach oben in freier Selbstbestimmung leben zu können.

 

Wenn sich jeder an die Wahrheit halten würde die geschrieben steht, und zwar ohne zu interpretieren und spekulieren, könnten wir morgen alle freie Menschen sein.

                                                                                          

Die drei Siebe

 

Ganz aufgeregt kam ein Mann zu einem Weisen gerannt: „Ich muss dir etwas erzählen. Dein Freund …“

Der Weise unterbrach ihn: „Halt!“ Der Mann war überrascht.

„Hast du das, was du mir erzählen willst, durch die drei Siebe gesiebt?“, fragte der Weise.

 

„Drei Siebe?“, wiederholte der Mann verwundert.

 

„Richtig, drei Siebe! Lass uns prüfen, ob das, was du mir erzählen willst, durch die drei Siebe passt. Das erste Sieb ist die Wahrheit.

Ist das wahr, was du mir erzählen willst?“

 

„Ich habe es selber erzählt bekommen und …“

 

„Na gut. Aber sicher hast du es mit dem zweiten Sieb geprüft. Das zweite Sieb ist das der Güte.

Wenn es nicht sicher wahr ist, was du mir erzählen möchtest, ist es wenigstens gut?“

 

Zögernd antwortete der Mann: „Nein, im Gegenteil …“

 

„Dann”, unterbrach ihn der Weise, „lass uns auch noch das dritte Sieb anwenden.

Ist es wichtig und notwendig, es mir zu erzählen, was dich so aufregt?“

 

„Wichtig ist es nicht und notwendig auch nicht unbedingt.“

 

    „Also mein Freund“, lächelte der Weise, „wenn das, was du mir erzählen willst, weder wahr noch gut, noch notwendig ist, so lass es lieber sein und belaste dich und mich nicht damit.“

 

 

Kontakt Möglichkeiten sind

 

Videos zur Aufklärung bei Odysee.

Im Telegram Chat "𝕱𝖗𝖆𝖓𝖐 𝕽𝖆𝖉𝖔𝖓 & 𝖆𝖑𝖑𝖊𝖘 𝖚𝖒 𝖉𝖎𝖊 𝕳𝖊𝖎𝖒𝖆𝖙𝖍 𝖉𝖊𝖗 𝕯𝖊𝖚𝖙𝖘𝖈𝖍𝖊𝖓", da auch gern per Sprachchat jeden Mittwoch ab 20.00 Uhr

Telegram Archiv

Per Mail frank-radon@t-online.de

Per Telefon 01794816413

Per Zoom

 

Gerne könnt ihr mich auch zu einem Vortrag einladen der nichts kostet. Die Wahrheit muß immer und zu jeder Zeit den Mitmenschen kostenlos zur Verfügung gestellt werden. Ich bitte lediglich um ein wenig Sprit Geld als Dankeschön und Wertschätzung für mein TUN.

 

Und nun wünsch ich euch viel Spaß. Habt ihr Fragen dann schreibt mir. Auch für berechtigte Kritik bin ich selbstverständlich offen. Doch wie immer nur mit Fakten, Nachweisen und Beweisen. Keine Thesen aufstellen ohne diese zu belegen! Das bringt uns alle nicht weiter und lässt uns nicht auf den kleinsten gemeinsamen Nenner kommen.

 

Danke sagt euch

Frank Radon